USCG CFR 中关于甲板照明的问题

引自 USCG CFR 33, Part 155.790 具体指船舶上的有油 / 有害物质的驳运位置(一般指加油站,还有 Dang...

造船主要劳务承包工程目录及定价方式

大多数的船厂其大多数的工程都是以劳务承包方式由有资质的外包队来承揽相应工程,下面就来简单说说整个造船过程中的哪些工程是以外包方式来处理及如何...

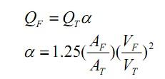
致IACS Mach. Panel的一封信(对UI SC246的一点质疑)

著作权归作者所有。 商业转载请联系作者获得授权,非商业转载请注明出处。 作者:小刀 链接:http://zhuanlan.zhihu.com...

船舶在海上遇险后有哪些发送求救信号的手段

船舶在海上遇险后, 首要任务就是向外发送求救信号. 很多人可能第一反应就是打手机啊, 是啊, 假如遇险区域有手机信号的话, 裤兜里掏出手机就...

液化气船的一些故事(二)

目前依然服役的货物围护系统(CCS,cargo containment system)中,包括SPB型,MOSS型,以及GTT公司的薄膜型(...

液化气船的一些故事(一)

一些时间节点。 1912年,西弗吉尼亚建造了第一个液化天然气工厂; 1914年,Godfrey Cabot在一艘驳船上验证了水运液化气的可能...

浅谈私企的无奈和加强成本控制

中国造船从无到有,从小到大,从弱到强,其中要走的路还要很长很长。在2003-2008年间,由于造船利润的可观性,私企老板投入大量的资金来建造...
关注微信
微信扫一扫关注我们

微信扫一扫关注我们

关注微博
返回顶部